Nextflow Pipeline

For users interested in systematically comparing results across multiple moDiNA configurations, the Nextflow pipeline is the correct choice as it enables parallel, local execution using conda, Docker, Singularity, and distributed execution on HPC clusters using SLURM.

Installation

Note

If you are new to Nextflow, please refer to this page on how to set-up Nextflow.

Then you need to clone the moDiNA Nextflow pipeline repository:

git clone https://github.com/DyHealthNet/moDiNA_nf_pipeline.git

TODO: create conda environments if this is not working automatically…

Parameters

The Nextflow pipeline is designed to run multiple configurations in parallel, allowing users to systematically evaluate different settings and their impact on the results. To specify the configurations, you can either change the parameters in the nextflow.config file or create a configuration file (e.g., params.yml) that contains the parameters for each configuration you want to run.

Pipeline Parameters

This page documents all configurable parameters of the moDiNA Nextflow pipeline. Parameters are set in nextflow.config or via a YAML params file (-params-file params.yml).

General Parameters

Parameter

Type

Default

Description

name_context_1

string

'context1'

Label assigned to the first context (e.g. "Female" or "Control").

name_context_2

string

'context2'

Label assigned to the second context (e.g. "Male" or "Disease").

run_type

string

'file'

Determines how moDiNA configurations are specified. One of single (one fixed configuration), all (all valid combinations), or file (read from a CSV samplesheet).

data_type

string

'simulation'

Source of input data. Either simulation (generate synthetic data via copula) or real (provide real-world data files).

out_dir

path

''

Absolute path to the directory where all pipeline outputs are written.

work_dir

path

''

Absolute path to the work directory of the Nextflow pipeline.

evaluation

boolean

true

Boolean specifying whether evaluation plots should be generated.

Environment Parameters

Parameter

Type

Description

conda_modina_env

path

Absolute path to the conda environment used for all core moDiNA processes (network inference, ranking, …).

conda_eval_env

path

Absolute path to the conda environment used for R-based evaluation processes.

Simulation Parameters (simulation.*)

Only required when data_type = 'simulation'.

Parameter

Type

Default

Description

simulation.n_simulations

integer

3

Number of independent simulation replicates to run.

simulation.n_bi

integer

50

Number of binary nodes to simulate.

simulation.n_cont

integer

50

Number of continuous nodes to simulate.

simulation.n_cat

integer

50

Number of categorical nodes to simulate.

simulation.n_samples

integer

500

Number of samples (observations) per context.

simulation.n_shift_cont

integer

4

Number of continuous nodes with an artificially introduced mean shift between contexts.

simulation.n_shift_bi

integer

4

Number of binary nodes with an artificially introduced mean shift between contexts.

simulation.n_shift_cat

integer

4

Number of categorical nodes with an artificially introduced mean shift between contexts.

simulation.n_corr_cont_cont

integer

2

Number of continuous–continuous node pairs with an artificially introduced correlation difference between contexts.

simulation.n_corr_bi_bi

integer

2

Number of binary–binary node pairs with an artificially introduced correlation difference between contexts.

simulation.n_corr_cat_cat

integer

2

Number of categorical–categorical node pairs with an artificially introduced correlation difference between contexts.

simulation.n_corr_bi_cont

integer

2

Number of binary–continuous node pairs with an artificially introduced correlation difference between contexts.

simulation.n_corr_bi_cat

integer

2

Number of binary–categorical node pairs with an artificially introduced correlation difference between contexts.

simulation.n_corr_cont_cat

integer

2

Number of continuous–categorical node pairs with an artificially introduced correlation difference between contexts.

simulation.n_both_cont_cont

integer

2

Number of continuous–continuous node pairs with both a mean shift and a correlation difference.

simulation.n_both_bi_bi

integer

2

Number of binary–binary node pairs with both a mean shift and a correlation difference.

simulation.n_both_cat_cat

integer

2

Number of categorical–categorical node pairs with both a mean shift and a correlation difference.

simulation.n_both_bi_cont

integer

2

Number of binary–continuous node pairs with both a mean shift and a correlation difference.

simulation.n_both_bi_cat

integer

2

Number of binary–categorical node pairs with both a mean shift and a correlation difference.

simulation.n_both_cont_cat

integer

2

Number of continuous–categorical node pairs with both a mean shift and a correlation difference.

simulation.shift

float

0.5

Magnitude of the mean shift introduced in shifted nodes. Must be ≥ 0.

simulation.corr

float

0.7

Target correlation difference introduced in correlated node pairs. Must be in [0, 1].

Real-World Data Parameters (real_world_data.*)

Only required when data_type = 'real'.

Parameter

Type

Default

Description

real_world_data.path_context_1

path

''

Absolute path to the CSV data file for context 1 (rows: samples, columns: variables).

real_world_data.path_context_2

path

''

Absolute path to the CSV data file for context 2 (rows: samples, columns: variables).

real_world_data.path_meta

path

''

Absolute path to the metadata CSV file containing variable labels and data types.

Differential Network Analysis Parameters (diff_net_analysis.*)

Parameter

Type

Default

Description

diff_net_analysis.path_config

path

'input_samplesheet.csv'

Path to the CSV samplesheet listing moDiNA configurations to run. Required when run_type = 'file'. Columns: node_metric, edge_metric, ranking_algorithm.

diff_net_analysis.node_metric

string

'STC'

Node-level differential metric. Used when run_type = 'single'. One of: STC, DC-P, DC-E, WDC-P, WDC-E, PRC-P, None.

diff_net_analysis.edge_metric

string

'pre-LS'

Edge-level differential metric. Used when run_type = 'single'. One of: diff-P, pre-E, post-E, int-IS, pre-LS, post-LS, pre-PE, post-PE, None.

diff_net_analysis.ranking_algorithm

string

'PageRank+'

Algorithm used to rank nodes and edges in the differential network. Used when run_type = 'single'. One of: PageRank+, PageRank, absDimontRank, DimontRank, direct_node, direct_edge.

diff_net_analysis.filter_method

string

''

Optional method to filter context-specific networks before differential analysis. One of: degree, density, quantile. Leave empty to skip filtering.

diff_net_analysis.filter_param

integer / float

2

Parameter for the chosen filter method. Integer for degree; float in (0, 1) for density and quantile.

diff_net_analysis.filter_metric

string

'pre-P'

Edge score used as the basis for filtering. One of: raw-P, rescaled-E. Required when filter_method is set.

diff_net_analysis.filter_rule

string

'zero'

Rule applied when filtering edges. One of: zero (set filtered edges to zero), union (keep edges present in at least one context).

diff_net_analysis.max_path_length

integer

2

Maximum path length used for the int-IS edge metric. Must be an integer in [0, 4]. Only relevant when int-IS is selected as an edge metric.

diff_net_analysis.test_type

string

'nonparametric'

Type of statistical test used during context network inference. One of: parametric, nonparametric.

diff_net_analysis.nan_value

integer

-89

Sentinel value in input data that represents missing / NA values.

diff_net_analysis.multiple_testing

string

'bh'

Multiple testing correction method applied to association p-values. One of: bh (Benjamini–Hochberg), by (Benjamini–Yekutieli).

Usage

You can choose between the following profiles: conda, docker, singularity, slurm. The respective profile will be used to execute the pipeline with the appropriate containerization or job scheduling system. You can specify the profile using the -profile flag when running the Nextflow pipeline. For example, to run the pipeline using conda for package management and SLURM for distributed execution, you would use the following command:

Now, you can run the Nextflow pipeline using the following command:

nextflow run main.nf -profile conda,slurm

If you have stored the parameters in a params.yml file instead of the nextflow.config file, you can specify the path to this file using the -params-file flag:

nextflow run main.nf -profile conda,slurm -params-file path/to/your/params.yml

Pipeline Output

The results are stored in the specified output directory, which is organized by differential network analysis steps and evaluation steps.

The main output of the pipeline includes:

  • Simulated datasets for each simulation replicate (if data_type = 'simulation').

  • Inferred context-specific networks for each context and simulation.

  • Node and edge metrics files for each configuration and simulation.

  • Ranking results for each configuration and simulation.

  • Evaluation results.

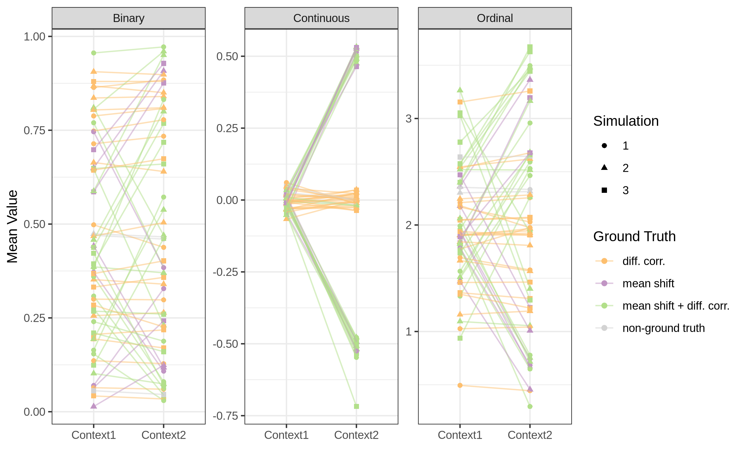
In the following, we provide some examples of evaluation results generated by the Nextflow pipeline.

For evaluating the strength of the simulation, we can check the distribution of the introduced mean shifts and correlation differences across the simulated nodes and node pairs.

Mean shift point plot Association scores point plot

The performance of the different configurations can be evaluated using for example the AUC heatmap, which shows the AUC values for each configuration averaged across all simulation replicates.

AUC heatmap